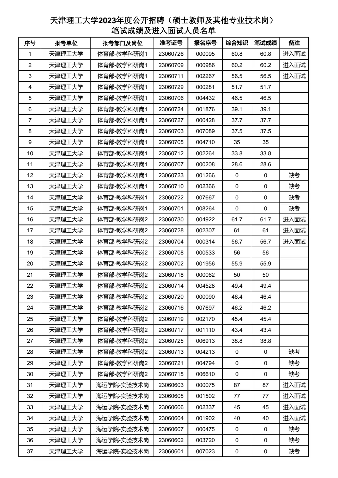
天津理工大学2023年度公开招聘(硕士教师及其他专业技术岗)笔试成绩及进入面试人员名单
2023-04-17 09:58 分享到:

文章来源:http://rsc.tjut.edu.cn/info/1037/4014.htm
【半月讲坛教育提醒】更多报考信息请关注天津半月讲坛官网(www.banyuetanedu.com)或微信公众号(tjbanyuetan),天津半月讲坛教育咨询电话:022-81110908,南开分校咨询电话:022-87495105,西青分校咨询电话:022-58061893,蓟州分校咨询电话:022-29880199,宝坻分校咨询电话:022-22588509,武清分校咨询电话:022-82128684。

- 天津市文化和旅游局2024年事业单位公开招聘工作人员资格复审通
- 天津音乐学院2024年公开招聘硕士岗位工作人员-通知5(档案管理
- 天津美术学院关于2024年第二批公开招聘硕士工作人员成绩公布等
- 天津渤海职业技术学院2024年公开招聘高层次人才考核方案及进入
- 天津市地质研究和海洋地质中心2024年第二批公开招聘工作人员面
- 天津市第一商业学校2024年公开招聘工作人员资格复审的通知
- 天津美术学院关于2024年第二批公开招聘硕士工作人员资格复审及
- 天津市宝坻区2024年事业单位公开招聘工作人员报考情况统计(统
- 天津市宝坻区2024年事业单位公开招聘工作人员报考情况统计(统
- 关于公布天津美术学院2024年第二批公开招聘硕士工作人员笔试成
- 天津市文化和旅游局2024年事业单位公开招聘工作人员资格复审通
- 天津音乐学院2024年公开招聘硕士岗位工作人员-通知5(档案管理
- 天津美术学院关于2024年第二批公开招聘硕士工作人员成绩公布等
- 天津渤海职业技术学院2024年公开招聘高层次人才考核方案及进入
- 天津市地质研究和海洋地质中心2024年第二批公开招聘工作人员面
- 天津市第一商业学校2024年公开招聘工作人员资格复审的通知
- 天津美术学院关于2024年第二批公开招聘硕士工作人员资格复审及
- 天津市宝坻区2024年事业单位公开招聘工作人员报考情况统计(统
- 天津市宝坻区2024年事业单位公开招聘工作人员报考情况统计(统
- 关于公布天津美术学院2024年第二批公开招聘硕士工作人员笔试成







