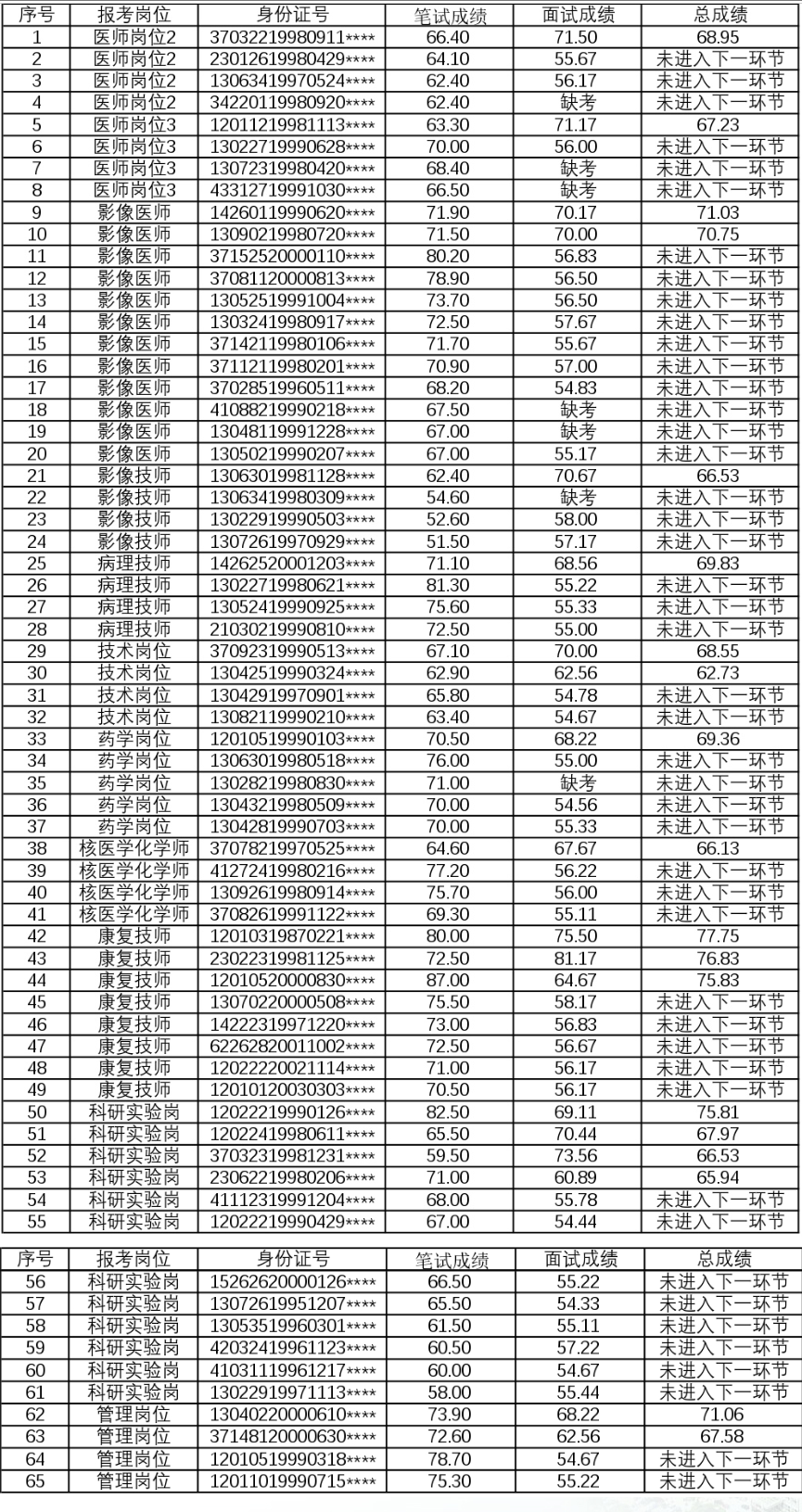
【2025年人事代理制招聘补录】天津医科大学肿瘤医院2025年第二批人事代理制工作人员招聘成绩
2025-07-11 09:11

半月讲坛温馨提示:信息均转载自官方网站,仅供参考,不构成相关服务。其最终解释权归相关单位所有,如对信息有疑问,请直接与相关单位联系。转载目的在于信息传递,我司不承担此类稿件其他行为的连带责任,如有侵权或需删除请联系我们。因此带来的不便敬请谅解!
- 关于做好天津中医药大学2025年第二批公开招聘(博士辅导员)第
 - 天津中医药大学第一附属医院2025年第六批人事代理制招聘资格复
 - 武清区卫健系统事业单位2025年度第二批公开招聘专业技术人员成
 - 天津市卫生健康委员会所属天津市第一中心医院2025年度第二批次
 - 天津医科大学朱宪彝纪念医院关于2025年人事代理制招聘进入面试
 - 天津医科大学朱宪彝纪念医院2025年人事代理制招聘笔试成绩
 - 天津医科大学朱宪彝纪念医院2025年人事代理制招聘入围面试人员
 - 天津中医药大学第二附属医院2025年第二批人事代理制人员招聘笔
 - 天津中医药大学第一附属医院2025年第六批人事代理制招聘笔试成
 - 天津市红桥区卫生健康委所属事业单位2025年第二批公开招聘工作
 
- 关于做好天津中医药大学2025年第二批公开招聘(博士辅导员)第
 - 天津中医药大学第一附属医院2025年第六批人事代理制招聘资格复
 - 武清区卫健系统事业单位2025年度第二批公开招聘专业技术人员成
 - 天津市卫生健康委员会所属天津市第一中心医院2025年度第二批次
 - 天津医科大学朱宪彝纪念医院关于2025年人事代理制招聘进入面试
 - 天津医科大学朱宪彝纪念医院2025年人事代理制招聘笔试成绩
 - 天津医科大学朱宪彝纪念医院2025年人事代理制招聘入围面试人员
 - 天津中医药大学第二附属医院2025年第二批人事代理制人员招聘笔
 - 天津中医药大学第一附属医院2025年第六批人事代理制招聘笔试成
 - 天津市红桥区卫生健康委所属事业单位2025年第二批公开招聘工作
 
                        






